1. Q: 石英力傳感器與載荷傳感器是同一種傳感器嗎?
A: 從傳感器的名字來講-力和載荷-有時是可以互換的。然而,載荷傳感器更多指的是應變式靜態力傳感器,石英力傳感器為壓電式(PE)的裝置。
2. Q: 在通常的稱重應用中,石英力傳感器可以跟應變式載荷傳感器互換嗎?
A: 答案是:不可以。由于壓電漂移和放電時間常數的影響,石英力傳感器不能長時間對物體進行稱重測量。PE力傳感器不能實現DC (0 Hz)響應。
3. Q: 與電阻應變式傳感器相比壓電石英力傳感器具有哪些優勢和特點?
A: 動態范圍 –定義為傳感器可測量的***小幅值(本底噪聲)至***大幅值(滿量程)的比率。石英力傳感器的動態范圍比電阻應變式高10倍以上。
剛度 – 石英力傳感器的剛度一般比電阻應變式傳感器高10倍以上。
靈敏度穩定性 – 石英力傳感器由無活動件的固體組件制造,無老化效應。
線性測量范圍 – PE石英力傳感器的線性測量范圍是應變式載荷傳感器的數倍。工作量程能夠擴展到1000倍以上。
溫度范圍 –電荷型石英力傳感器工作溫度可達400 °F (204 °C)。電阻應變式只能到 200 °F (93 °C).
尺寸 – 量程為 5,000 lb (22 kN) 的石英力傳感器直徑尺寸為0.75 inch (19 mm) ,而具有相同測量能力的電阻應變式的尺寸為 3-4 inch (76-102 mm) 。
壽命周期成本 – 石英力傳感器由于剛度很大,具有更長的使用壽命。而且需要校準的次數比電阻應變式要少。
4. Q: 石英力傳感器的上升時間指的是什么?
A: 上升時間定義為:給力傳感器施加一個階躍信號,傳感器從***終穩定值的10%到90%所用的時間。
自由狀態(未安裝)下,傳感器的上升時間可以通過取傳感器自然頻率的倒數大體獲得。
其中:
fn = 自然頻率(Hz)
Tp = 峰值時間(s)
可是,計算實際的上升時間會由于不同應用引起的安裝自然頻率不同而變得十分復雜。由于附加的質量存在,傳感器的自然頻率會降 低。通常對于安裝好的力傳感器的峰值時間為自然周期的四分之一。

舉例1: PCB® 的力環,型號為 202B ,自由狀態下的自然頻率為 60 kHz.
峰值時間計算: 

如圖1,一個事件的上升時間。對于測試來講,保證傳感器的上升時間比事件的上升時間短很多是非常重要的。如果事件的上升時間比傳感器的短,將引起傳感器共振,那個疊加在記錄的數據上。對于上述所示圖形中的事件,PCB®公司的載荷傳感器1102-01A 不適合,因為它的上升時間為89.2 µsec,數據會顯示出明顯的振鈴現象。 石英ICP® 力傳感器202B 將不會出現上述問題,因為它的上升時間為 4.1 µsec ,如舉例1計算結果。
5. Q:在壓電式(PE)力傳感器中,使用石英晶體與使用陶瓷材料相比有何優勢和特點?
A:長期穩定性好 – 石英為自然壓電晶體,不會受到大的機械,熱或者電氣沖擊的影響。
具有短時靜態校準能力 – 常見的定負載準靜態校準可以通過使用電荷放大器來實現。陶瓷元件需要進行動態校準。
剛度要高得多 –從很小的輸入到滿量程均具有極好的線性度。
熱敏感性更小 – 在很寬的工作溫度范圍內,靈敏度變化很小。
電容值更低– 可以輸出更高的電壓 (電壓 = 電荷量 / 電容),更小的噪聲。
6. Q:為什么有些石英力傳感器只能測量壓縮力,而有的卻可以同時測量拉伸力和壓縮力?
A: 壓-拉力的輸出能力取決于石英力傳感器的構造。有些型號,比如208系列, 通過對石英元件施加內部預緊,這種設計使得傳感器易于附著在結構上進行拉壓測量。
其它的力鏈和力環的設計沒有內部預緊,對于力鏈性傳感器,預緊安裝硬件在傳感器的外部,并圍繞傳感器施加預緊。這種生產工藝也使傳感器能進行拉壓測量,并易于安裝。
力環的預緊經常作為安裝過程的一部分來進行。任何通過安裝硬件施加的預緊力值都可能會使傳感器得到預緊。對一個力環一百磅的預緊,將使得傳感器具有大約100磅的拉伸負載的測量能力。
7. Q:力環和力鏈的區別在哪里?
A: 力鏈就是通過兩個大螺母預緊過的簡單力環。螺母可以幫助安裝,對力環的壓縮和拉伸測量提供所需的預緊力。
8. Q: 為什么208和218系列的拉伸力量程只有500 lbs,但是壓縮力量程可達到5000 lbs?
A: 內部預緊力和螺紋尺寸的限制導致其量程為500 lbs。
9. Q: 為什么1 lb的物體從任何高度落到沖擊力傳感器上,都不能測到對應1lb的力?
A: 合成的沖擊力來自于物體的重量和的***終速度,如需更多信息可參考PCB®公司的白皮書“Impact and Drop Testing with ICP®Force Sensors”。
10. Q:ICP® 力傳感器 (208C03, 201B03, 200B03 and 221B03) 具有相同的靈敏度(10 mV/lb )和量程(500 lbs). 如何確定哪一種***適合呢?
A: 由于規格參數很類似,安裝的要求在傳感器的選擇中起決定作用。
11. Q:為什么大多數ICP®石英力傳感器與ICP®型加速度計和壓力傳感器相比有更長的放電時間常數(DTC)?
A: 保證在DC耦合情況下,可以對 ICP® 力傳感器進行準靜態校準。
12. Q: 為什么與ICP®力傳感器相比,電荷型的石英力傳感器具有更大的量程能力?
A: ICP® 力傳感器在微電路中具有固定范圍的電容,因此限定了具體型號的量程。
電荷型傳感器不包含內置微電路。使用具有可調量程電容的外接電荷放大器,可以實現傳感器量程的調節。
13. Q:對于壓縮力輸入來講,為什么電荷型石英力傳感器為負極性輸出,而ICP®力傳感器為正極性輸出?
A: 電荷型傳感器的信號通常需要使用外部電荷放大器。大多數電荷放大器會反轉信號極性。這樣,來自傳感器的負極性信號,經過電荷放大器的反轉,變成正極性。
ICP® 信號適調儀不會反轉信號極性,這樣來自傳感器的正極性信號就會輸入到數采系統中。
14. Q: 多個力傳感器一起使用時,可以將測量結果相加嗎?
A: 可以, 在電荷模式中。例如,如果應用需要一個每個角都安裝有力傳感器的測力板,力傳感器信號可以通過PCB® 的070A15進行求和,然后將求和結果傳送到單***的電荷放大器中。
ICP® 型力傳感器需要在想PCB® 的 482M66 和 070M69等特殊的求和模塊中進行計算。
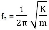
15. Q: 使用石英力傳感器可實現的上限測量頻率是多少?
A:PCB® 對于石英力傳感器標注了上限測量頻率。指的是非安裝自然頻率,并且是傳感器重量和剛度的函數。注意:更大的力環具有更低的自然頻率。任何附加重量,比如將傳感器安裝在一個裝置上,都會大大降低自然頻率。需要通過連續沖擊測試來確定其安裝后的自然頻率。
自然頻率的計算方法為:
其中:
fn = 自然頻率(Hz)
K = 剛度(N/m)
m = 質量(kg)
舉例 2: PCB® 力環型號 202B的剛度為 2.8 kN/mm ,質量為0.02 kg.
自然頻率計算: 





